
ミキワメ適性検査は、穴埋め・並び替え・図表の読み取り・推論・暗号という5つの問題形式で構成される能力検査です。
この記事では、Webテスト支援経験のある高尾さんと共にミキワメ適性検査の実践的な対策法をご紹介します。各問題パターンの出題傾向と効率的な解法を理解して、自信を持って試験に臨めるようにしましょう。
記事の後半では、10問の練習問題を用意しています。さまざまな問題形式に触れて、ミキワメ適性検査で求められる総合的な能力を身に付けましょう。
問題を解く前に確認! ミキワメ適性検査のコツ
ミキワメ適性検査の概要
- 問題パターン:穴埋め、並び替え、図表の読み取り、推論、暗号
- 1問あたりの時間:約60秒
- 出題頻度:テストセンター(なし)ペーパーテスト(なし)Webテスティング(高)
- ミキワメを解くときのコツをわかりやすく教えてください!
「正確性」と「判断スピード」の両立が試験突破のコツ
「適性検査 ミキワメ」の能力検査は、限られた時間内で多様な論理的思考を問われるのが特徴です。
一見すると複雑に見える問題も多いですが、実は「文脈の整理」「数値の概算」「条件の可視化」といった一定の解法パターンが存在します。
対策の最重要ポイントは、1つの問題に固執せず、詰まったら即座に次の設問へ移る「見切りの判断力」です。1問あたり1分以内を目安に、リズム良く解き進める感覚を養いましょう。
まずはこの例題を通じて、自分がどの分野に時間を奪われやすいかを把握し、重点的に「解法の型」を身に付けることが、本番で焦らず着実に得点を積み上げるための近道です。
ミキワメ適性検査の練習問題10問|Webテストのプロによる解説付き!
ここからは、ミキワメ適性検査の練習問題をWebテストのプロによる解説付きで10問紹介します。5つの出題形式を2問ずつ出題しているので、すべて解いて各パターンへの対応力を高めていきましょう。
ミキワメ適性検査に初めて取り組む人や、苦手な問題がある人は「問題を解く前に確認! ミキワメ適性検査のコツ」で各パターンの基本的な解法を理解してから練習問題に挑戦してみてください。
問題1(難易度:★★★☆☆)
問題
次の文中のア、イ、ウの空欄に入る語を、語群の1〜3の中からそれぞれ選び、その組み合わせとして正しいものをA〜Eの中から1つ選びなさい。ただし、それぞれの語は各選択肢において1箇所のみ用いるものとする。
料理をするとき、まず「ア」を確認し、それを「イ」にもとづいて加工し、最後に「ウ」を完成させる。たとえば、「食材をどのような料理に仕上げるか」を考えるとき、「ア」として手元にある食材を把握し、「イ」を参照して調理し、最終的に「一皿の料理」という「ウ」を得る。このように、調理の流れは「ア」から「イ」、そして「ウ」へと進む。
【語群】
1.レシピ
2.成果物
3.素材
選択肢
正解:C
物事の工程において、まず対象となる「素材」を認識することが出発点となる。次に、その素材をどのように扱うかという指針である「レシピ」を適用し、最終的な目的である「成果物」を導き出す。素材=入力、レシピ=処理、成果物=出力 と考えれば、この論理構造は入力を処理して出力する一連のシステムの流れと一致する
問題2(難易度:★★★☆☆)
問題
次のア〜オの文を意味が通るように並び換えたとき、イの次にくる文を選びなさい。
ア:会場に到着すると、すでに多くの人が列を作っていた。
イ:館内に入ると、静寂のなかで照明が作品を美しく照らし出していた。
ウ:休日、話題の展覧会を訪れることにした。
エ:「この絵の色彩はきわめて独特ですね。」と、隣の客が独り言を言った。
オ:その言葉にうなずきつつ、私も一つひとつの作品をじっくりと鑑賞していった。
選択肢
正解:C
文の流れを整理すると、以下のようになる。
ウ(展覧会を訪れることを決める)
ア(会場に到着し、列を確認する)
イ(館内に入り、場内のようすに目が行く)
エ(他者の声を聞き、作品へ意識が向く)
オ(その声を受けて、自身も作品を鑑賞していく)
したがって、イの次にくる文はエとなる。
問題3(難易度:★★★☆☆)

問題
次の統計資料にもとづき、各問いに対する答えとして最も適切なものを、それぞれ1つ選びなさい。
昨年の新卒採用における最終面接の実施件数が160件であり、今年の実施件数の対前年増加率がおよそ-15%であったとすると、今年の最終面接の実施件数は、およそ何件か。最も近いものを、以下の選択肢から1つ選びなさい。
選択肢
正解:B
昨年の実施件数は160件であり、今年はその数値から15%減少した。計算すると、160×(1-0.15)=160×0.85=136となる。したがって、今年の実施件数はおよそ136件となるため、選択肢Bが正解となる。対前年増加率がマイナスのときは、元の数値からその割合分を差し引いて算出する。
問題4(難易度:★★★☆☆)
問題
次のⅰ)からⅳ)の条件を読み、あとの推論のうち、論理的に必ず正しいものを導き出しなさい。
P、Q、R、S、Tの5つの製品の売上高を比較したところ、以下のことがわかっている。
ⅰ)Rの売上高はSよりも高い。
ⅱ)Tの売上高はRよりも高いが、最も高くはなかった。
ⅲ)Qの売上高はPよりも高い。
ⅳ)同じ売上高の製品は存在しない。
次のア、イ、ウの推論のうち、必ず正しいものはどれか。
ア Qの売上高は、5つの製品の中で最も高い。
イ Sの売上高は、5つの製品の中で最も低い。
ウ 売上高が2番目に高いのは、PまたはTである。
選択肢
正解:E
条件を整理すると、売上高の高い順にQ>P、およびT>R>Sとなる。ⅱ)より、Tは最も高くないため、1位はQで確定する。これにより、Q>T>R>Sという順序が判明するが、Pの位置はQより下であること以外に制約がない。
可能性がある順序は、Q>P>T>R>S、Q>T>P>R>S、Q>T>R>P>S、Q>T>R>S>Pの4通りである。推論アはQが1位で正しい。推論イはSより低いPがあり得るため確定しない。推論ウは2位がPまたはTのいずれかになるため、常に正しい。よって正解はEとなる。
推論を制するコツは、条件をすべて図に書き出すことです。
本問では「Q > P」「T > R > S」の2グループができ、「Tは1位でない」ため「Qが1位」と確定します。
重要なのは、他グループとの位置関係が不明な「P」の扱いです。Pはどこにでも入る可能性があるため、「Sが最低」という推論は不成立となります。
このように「確定すること」と「変動しうること」を視覚的に分けることで、ミキワメ特有の巧妙なひっかけを回避できます。
問題5(難易度:★★★☆☆)

問題
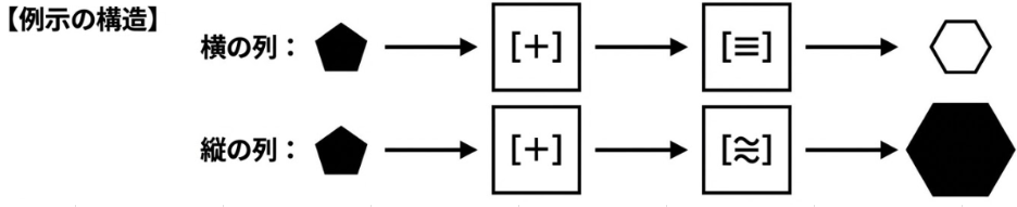
図形が特定の記号を通過するたびに、ある規則にしたがって変化している。例示された変化の法則を読み取り、空欄に当てはまる最も適切な図形を選択肢から1つ選びなさい。
選択肢
正解:A
横と縦の列に共通する記号(≋)の変化を分析する。どちらの列でも、この記号を通過した後は図形が「小さく」なっていることがわかる。
また、横の列にある(≡)は「色を白くする(反転)」、縦の列にある(≒)は「角を4つにする(四角形にする)」という法則を持つ。
問いでは「白い大きな三角形」が(≋)のみを通過するため、色や形は維持されたままサイズだけが変化した「白い小さな三角形」が正解となる。
暗号問題は、パズルを解くようなスピード感が必要です。
まず、縦・横の両列にある記号(≋)を見つけ、前後で図形の何が変化したか(本問ではサイズ)を特定しましょう。1つの記号が「1つの変化(色、形、サイズ)」に対応するため、消去法で他の記号の役割も次々と判明します。
あとは判明したルールを問いの図形に機械的に適用するだけです。記号の意味を1つずつメモしながら解くと、複数の記号を通過する複雑な問題でもミスを防げます。
問題6(難易度:★★★★☆)
問題
次の文中のア、イ、ウの空欄に入る語を、語群の1〜3の中からそれぞれ選び、その組み合わせとして正しいものをA〜Eの中から1つ選びなさい。ただし、それぞれの語は各選択肢において1箇所のみ用いるものとする。
新規事業を立案する際、まず「ア」を収集し、それを「イ」によって分析し、最終的に「ウ」をおこなう。たとえば、「市場にどのような需要があるか?」という状況を調査するとき、「ア」として顧客の声を取り込み、「イ」を用いて市場の傾向を構造化し、最終的に新たな事業をおこなうかなどの「ウ」を下す。このように、戦略立案のプロセスは「ア」から「イ」、そして「ウ」へと進む。
【語群】
1.フレームワーク
2.意思決定
3.一次情報
選択肢
正解:D
専門的な業務遂行において、まずは材料となる「一次情報」を収集することが不可欠である。次に、収集した情報を整理し、意味を見いだすための道具として「フレームワーク」を活用する。その結果として、最終的な結論や方針を決める「意思決定」をおこなう。情報を加工して価値ある結論を出す論理的順序を考えると、アに3、イに1、ウに2が入る構成が正しい。
この形式は、単なる読解ではなく「物事の論理的な順序」を問うています。
ビジネスプロセスを「材料(情報)→加工(分析)→成果(決定)」の構造でとらえることが正答への近道です。空欄アには「素材(一次情報)」、イには「加工道具(フレームワーク)」、ウには「最終アウトプット(意思決定)」という役割を当てはめてみましょう。
こうした「論理の型」を意識すれば、抽象的な文章でも迷わず正解の組み合わせを選べます。
問題7(難易度:★★★★☆)
問題
次のア〜オの文を意味が通るように並び換えたとき、ウの次にくる文を選びなさい。
ア:会議室へ入ると緊張感が漂っており、参加者の顔にも真剣な思いが浮かんでいた。
イ:会社が新たに注力するプロジェクトの担当者に任命された。
ウ:議論を進めるうち、営業部門と開発部門の間に認識のずれがあることがわかった。
エ:そこで、両者の意見をすり合わせ、共通の目標を見すえて新たな取り組みを始めることにした。
オ:まずは現状の課題を洗い出すため、各部門の代表者を集めて初回の打ち合わせをおこなうことにした。
選択肢
正解:C
文の流れを整理すると、以下のようになる。
イ(プロジェクトの担当者に任命される)
オ(課題を洗い出すため、打ち合わせを企画する)
ア(会議室へ移動し、参加者の真剣な思いを感じる)
ウ(議論を進めるうち、部門間の認識のずれがわかる)
エ(両者の意見をすり合わせ、目標を見据えて取り組みを進める)
ウにおいて、部門間の認識のずれという具体的な問題点が浮き彫りになる。その課題を解決し、次に進むための行動が示されているエが続くのが論理的な展開である。
文の並び替えでは、まず「起点となる一文(イ)」を特定し、因果関係を追います。
本問では「打ち合わせ(オ)→会場入り(ア)」という物理的な流れや、「ずれの判明(ウ)→そこですり合わせる(エ)」という問題解決の論理展開に注目しましょう。
特に「そこで」「しかし」といった接続詞は、前後関係を確定させる強力なヒントになります。
脳内だけで完結させず、選択肢を検証しながら矛盾のないストーリーを組み立てるのがコツです。
問題8(難易度:★★★★☆)

問題
次の統計資料にもとづき、各問いに対する答えとして最も適切なものを、それぞれ1つ選びなさい。
ある製品の昨年度の総販売利益が4,520万円であり、今年度の総販売利益の対前年度増加率がおよそ12%になると見込まれるとき、今年度の総販売利益はおよそ何万円か。最も近いものを、以下の選択肢から1つ選びなさい。
選択肢
正解:C
昨年度の利益である4,520万円に対し、今年度は12%増加する見込みである。計算式は、4,520×(1+0.12)=4,520×1.12=5,062.4となる。この結果に最も近い値は5,062万円であるため、選択肢Cが正解となる。増加率がプラスの場合は、1にその割合を加えた数値を元の値に乗じて求める。
この問題は4,520万円の12%増(×1.12)という手間の計算を求められますが、図表問題のコツは「完璧に計算しない」ことです。
たとえば「4,500 × 1.1」で4,950以上と見当をつけ、さらに1割(450)と2%分(90)を足して5,040付近だとアタリをつければ、複雑な筆算なしにCを導けます。
増加率の計算では「1.1倍ならいくらか?」という基準を持ち、選択肢から逆引きで絞り込むスピード感を意識しましょう。
問題9(難易度:★★★★☆)
問題
次のⅰ)からⅳ)の条件を読み、あとの推論のうち、論理的に必ず正しいものを導き出しなさい。
V、W、X、Y、Zの5つの部署について、残業時間の長さを調査したところ、以下のことがわかっている。
ⅰ)Xの残業時間はYよりも長い。
ⅱ)Zの残業時間はXよりも長いが、最も長くはなかった。
ⅲ)Vの残業時間はWよりも長く、かつZよりも長い。
ⅳ)同じ残業時間の部署は存在しない。
次のア、イ、ウの推論のうち、必ず正しいものはどれか。
ア Vの残業時間は、5つの部署の中で最も長い。
イ Yの残業時間は、5つの部署の中で最も短い。
ウ 残業時間が2番目に長いのは、WまたはZである。
選択肢
正解:E
条件を整理すると、残業時間の長さはV>W、V>Z、Z>X>Yとなる。ⅱ)よりZは最も長くない。これらを統合すると、Vが1位であることは確定する。順序の可能性は、V>W>Z>X>Y、V>Z>W>X>Y、V>Z>X>W>Y、V>Z>X>Y>Wの4通りが考えられる。
推論アはVが1位で正しい。推論イはYより短いWがあり得るため確定しない。推論ウは2位がWまたはZのいずれかになるため、常に正しい。したがって、必ず正しいのはアとウであり、正解はEとなる。
条件から「V > Z > X > Y」のメイン鎖と「V > W」のサブ鎖が浮かび上がります。
重要なのはWの位置が「Vより下」としか決まっていない点です。1位はVと確定しますが、Wは2位から最下位まであらゆる可能性があります。推論問題では、この「情報不足の箇所」こそがひっかけです。
図解の際は、位置が固定されない要素を「浮いた状態」で描きましょう。そうすれば、推論イのような断定の誤りに気づきやすくなります。
問題10(難易度:★★★★☆)

問題
図形が特定の記号を通過するたびに、ある規則にしたがって変化している。例示された変化の法則を読み取り、空欄に当てはまる最も適切な図形を選択肢から1つ選びなさい。
【問い】
黒い小さな三角形 →[+]→(?)
選択肢
正解:B
中央で交差する記号[+]の法則を導き出す。横の列では五角形が六角形に、縦の列でも五角形が六角形に変化していることから、[+]は「角の数を1つ増やす」法則であるとわかる(三角形の場合は、一般的に四角形への変化として扱われる)。
また、横の[≡]は「色を白くする」、縦の[≋]は「サイズを大きくする」変化を指す。問いでは「黒い小さな三角形」が[+]のみを通過するため、色とサイズはそのままで角が増えた状態である「黒い小さな四角形」が正解となる。
複数の記号が並ぶ暗号問題では、各記号が「色」「サイズ」「角の数」のどれを担当しているかを真っ先に特定しましょう。
本問では、共通記号[+]が「角を1つ増やす」役割だと見抜くのが勝負です。法則がわかれば、あとは対象の図形にルールを適用するだけです。
暗号はパズルではなく「データ処理」と考えましょう。一つひとつの変化をメモし、余計な思考を挟まずに機械的に選択肢を絞り込むことが、制限時間の厳しいミキワメ攻略の鍵となります。
ミキワメ適性検査を対策する際のポイント
主要なWebテスト「SPI」について知りたい人はこちら
言語の対策
SPIの言語の対策方法|短期間で高得点を取るコツを解説
非言語の対策
SPI非言語は対策すれば怖くない! 出題傾向や例題を徹底解説
英語の対策
SPI英語攻略ガイド|出題内容から勉強方法まで例題付きで解説
執筆・編集 PORTキャリア編集部
> コンテンツポリシー記事の編集責任者 熊野 公俊 Kumano Masatoshi





アドバイザーのリアル・アドバイス!「脳内完結」は危険? 実際に書いて解くことが攻略法
キャリアコンサルタント
高尾 有沙
プロフィールを見るミキワメの能力検査を効率的に攻略するコツは、脳内だけで完結させず、手を動かして情報を整理することです。
特に「推論」や「並び替え」では、条件を数直線や関係図に書き出し、「確実にいえること」と「可能性があるだけのもの」を区別してひっかけを排除しましょう。
「図表の読み取り」は精密な計算は不要で、選択肢を先に見て上2桁程度の概算でアタリをつけるスピード感が重要です。
「暗号」は共通する記号から「サイズ」「色」「形」の変化を司る要素を瞬時に特定する練習を積んでください。
パターンの記憶と時間計測で試験を突破しよう
就活生に多い失敗は難問で立ち止まることです。各単元の「解法の型」を覚え、反射的に整理できるよう例題を繰り返しましょう。
練習は常にストップウォッチで時間を計る反復トレーニングがおすすめです。型に当てはめて高速で回答するリズム感を身に付ければ、本番の厳しい制限時間も突破できるはずです。