SPI非言語の「装置と回路」は、別名「ブラックボックス」とも呼ばれています。特定の機能を持った装置に入出力される数値を考える問題です。
この記事では、300名を超える学生へのWebテスト指導経験を持つ小寺さんとともにSPIの「装置と回路」の解き方について解説していきます。基本的にはペーパーテストでのみ出題される単元ですが、出題傾向が変わる可能性もあるのでほかの形式で受験する人も念のため対策をしておきましょう。
記事の後半には練習問題を3問用意しています。さまざまな問題パターンを解説しているので、「装置と回路」の感覚をつかむ手助けにしてください。
【完全無料】
大学3年生(28卒)におすすめ!
WEBテスト対策におすすめの資料
就活が本格化する前に早めに対策しよう!
1位:WEBテスト対策模試
模試で実力チェック!WEBテストの頻出問題をこれ1つで効率的に対策できます
2位:WEBテスト問題集
厳選した頻出問題を1冊にまとめました!分かりやすい解説付き
3位:TG-WEB対策問題集
TG-WEB対策にはもう困りません!対策しにくいTG-WEBにも完璧に対応
4位:SPI模試&対策問題集
時間がない人におすすめ! 無料でSPI対策と本番形式の模試を受けることができます
5位:玉手箱対策問題集
玉手箱対策は頻出問題を活用して効率よく対策しましょう
【本選考を控えている就活生必見!】
ツールを活用して選考通過率を上げよう!
①自己PR作成ツール
自己PRが思いつかない人は、ツールを活用して自己PRを完成させよう
②志望動機作成ツール
5つの質問に答えるだけで、AIが志望動機を自動で作成します
問題を解く前に確認! 装置と回路の解答のコツ
SPI「装置と回路」の概要
- 問題パターン:出力を規則的に変化させる装置、確率で出力が変わる装置、数をかけたり割ったりする装置
- 1問当たりの時間:1分~1分半程度
- 形式ごとの出題頻度:テストセンター(出題無し)ペーパーテスト(中)Webテスティング(出題無し)
- 装置と回路を解くときのコツをわかりやすく教えてください!
まずは慌てずじっくりと問題文を読むことが大切
装置と回路の問題の出題率はそこまで高くないですが、複数のWebテストを受験するなら遭遇する可能性があります。急に出現して焦らないためにも、一度問題に目を通しておきましょう。
装置と回路の問題では、難しい計算よりもルールの読み取り精度と手順の整理力が合否を分けます。
1問あたり60〜90秒が目安ですが、文章を焦って読んでそのまま計算に入ると、高確率で「どこで何が起きているか」を取り違えてしまうでしょう。
最初の30秒は装置の仕様理解と入力の流れの把握に集中、その後に計算に入ると時間配分が安定します。まずは問題文に慣れ、読み取り精度を高めるところから始めてみましょう!
スマホ1つで完結! 今すぐSPI模試を受けよう
SPI対策は効率的に進めることが大切です。自分の「苦手」を正しく把握して、一つずつ「得意」に変えていくことが点数をUPさせる近道となります。
自分のレベルがまだわかっていない人は、「SPI対策模試」を受けることから始めましょう。時間制限付きの本番に近い形で模試を受けることができるため、着実に力を付けていくことができます。
最大限に活かしてSPIを突破しましょう。
SPI「装置と回路」練習問題3問|小寺さんによる解き方の解説付き!
ここからは、SPI 非言語 「装置と回路」の練習問題を小寺さんの解説付きで3問紹介します。癖のある出題形式なので、しっかりと演習を積んで問題に慣れるところから始めていきましょう。
過去に「装置と回路」を解いたことがない人は、「問題を解く前に確認! 装置と回路の解答のコツ」を読んでから、問題に入るようにしてください。
問題1(難易度:★★★☆☆)

問題
入力信号である0、1を次のようなルールで変換し出力する装置があり、これらを組み合わせて回路を作る。問題の指示にしたがい、問いに答えよ。
装置P、Q、Rは次のような働きをする。
Pは、2つの入力信号が異なるときは1を出力し、同じときは0を出力する。
Qは、入力信号を逆の信号に変えて出力する。
Rは、2つの入力信号がともに0のときは0を出力し、少なくとも一方が1ならば1を出力する。
これらの装置をつなぎ、図のような回路を作った。このとき、Yが0になる入力信号X1、X2、X3の組み合わせとして正しいものはどれか。
選択肢
正解:E
Yが0になる条件を逆算して考える。
装置Rが出力0となるのは、入力がともに0のときである。したがって、装置Pの出力と装置Qの出力が両方とも0でなければならない。
【装置Pの出力が0になる条件】
装置Pは入力が「同じとき」に0を出力する。つまり、X1とX2は「0と0」または「1と1」でなければならない。
【装置Qの出力が0になる条件】
装置Qは入力を逆にするため、入力X3は1でなければならない。
この2点(X1とX2が同じ、かつX3が1)を満たす選択肢を探す。
AはX3=0なので不適。
B、CはX1とX2が異なるので不適。
DはX3=0なので不適。
EはX1=1、X2=1で同じであり、かつX3=1であるため、すべての条件を満たす。
よって正解はEである。
問題2(難易度:★★★☆☆)

問題
入力された数値を次のようなルールで変換し出力する装置Qがあり、組み合わせて回路を作る。問題の指示にしたがい、問いに答えよ。
装置Qの規則は以下のとおりである。
横から入力された場合:2乗して出力する。
上から入力された場合:5を足して出力する。
上と横から同時に入力された場合:2つの数値の積を出力する。
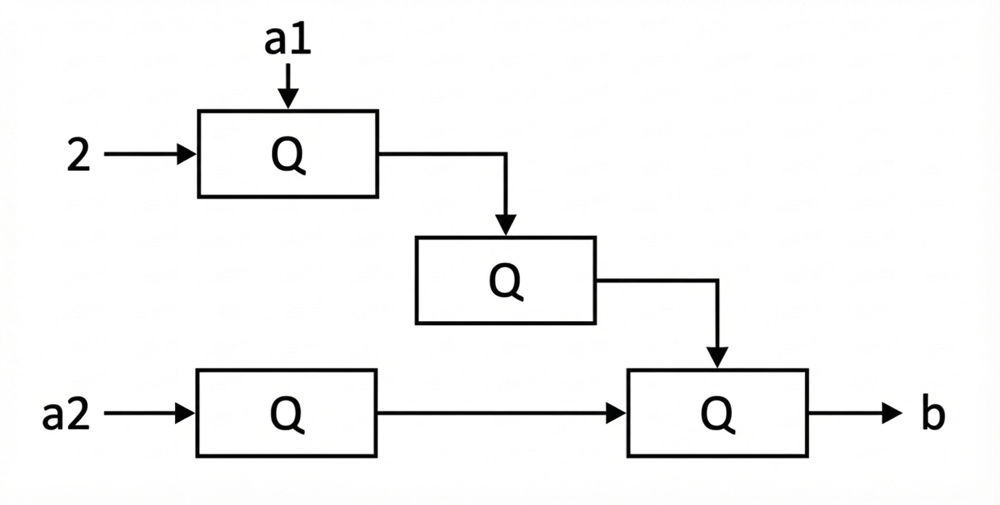
装置Qをつないで図のような回路を作った。a1に3、a2に4を入力したとき、bはいくつになるか。
選択肢
正解:D
左上の装置は、上から3、横から2が同時に入力される。出力は積となり、3×2=6となる。
中央の装置は、この6が上から入力される。上からの入力は5を足すため、出力は6+5=11となる。これが右下の装置の上側に入力される。
左下の装置は、横から4が入力される。横からの入力は2乗するため、出力は4×4=16となる。これが右下の装置の横側に入力される。
右下の装置には、上から11、横から16が同時に入力される。出力は積となるため、11×16=176となる。
もうWEBテストは受けた?模試で実力をチェックしよう!

問題集だけで対策すると、本番の時間制限などに慣れず焦る場合もありますよね。
「WEBテスト模試」なら、簡単に本番を想定した対策が出来ます。スマホやパソコンで、実際のテストを想定した模試を受けることが出来ますよ。
今すぐWEBテスト模試を受けて、自分の実力をチェックしてみましょう。
問題3(難易度:★★★★☆)

問題
入力信号である0、1を次のようなルールで変換し出力する装置があり、これらを組み合わせて回路を作る。問題の指示にしたがい、問いに答えよ。
装置S、Tは次のような働きをする。
Sは、入力信号が0のときは0を出力し、1のときは1/2の確率で0、1/2の確率で1を出力する。
Tは、2つの入力信号がともに1のときは0を出力し、それ以外は1を出力する。
これらの装置をつなぎ、図のような回路を作った。Yが1になる確率が50%となる入力X1、X2の組み合わせはどれか。
選択肢
正解:D
Y(装置Tの出力)が1になる条件を整理する。
装置Tは「ともに1のときは0、それ以外は1」を出力する。 Yが1になるには、入力が「ともに1」でなければ良い(0と0、0と1、1と0のいずれか)。 逆に言えば、「ともに1」になったときだけYは0になる。
各選択肢について検証する。
A(X1=0、X2=0): Sへの入力は0なので、出力は必ず0。Tへの入力は0と0。「ともに1」ではないので、Tは必ず1を出力する。(確率100%)
B(X1=0、X2=1): Sへの入力は0なので、出力は必ず0。Tへの入力は0と1。「ともに1」ではないので、Tは必ず1を出力する。(確率100%)
C(X1=1、X2=0): Sへの入力は1なので、出力は1/2で0、1/2で1となる。
・S出力が0のとき:T入力は0と0 → T出力は1
・S出力が1のとき:T入力は1と0 → T出力は1
いずれにしてもT出力は1となる。(確率100%)
D(X1=1、X2=1): Sへの入力は1なので、出力は1/2で0、1/2で1となる。
・S出力が0のとき:T入力は0と1 → T出力は1
・S出力が1のとき:T入力は1と1 → T出力は0
したがって、Yが1になる確率は1/2(50%)である。
よって、正解はDである。
この問題は、「確率×条件整理×装置ルール」を一気に扱っており、複雑なルールを分解して順を追いながら検証する力が求められる良問です。
一度で理解しようとせず、条件を自分の言葉に置き換え、ケースごとに整理することを心掛けましょう。選択肢ごとに条件がどう組み合わさるかを書き出せるかがポイントです。
練習問題が解けたら、次はSPI模試に挑戦して実力をチェックしてみましょう。
SPI「装置と回路」を対策する際のポイント
SPIの非言語に関する記事
◇非言語の対策
SPI非言語は対策すれば怖くない! 出題傾向や例題を徹底解説
SPIに関する記事
◇解答時間
SPIの解答時間を受検方式別に解説! 時間切れを防ぐコツ10選も
◇勉強法
効率抜群なSPIの勉強法|出題形式と頻出問題を踏まえた対策を伝授
◇勉強時間
SPIの勉強時間をプロが解説! おすすめの進め方や重点ポイントも
WEBテスト本番まで余裕がない方は、頻出問題を必ず押さえておこう!
志望度の高い企業にWEBテストで落ちるのは本当にもったいないですよね。でも、何冊も問題集を解く時間はありませんよね。
そこで「WEBテストパーフェクト問題集」を使えば、重要なポイントを絞った解説で効率的に学べます。さらに本番形式の模試で実践力を磨けるので、限られた時間で最大の成果を得られます!
ぜひこの問題集を活用して、WEBテストを突破してください。
装置と回路以外の練習問題も解いてみよう!
SPIは多くの分野に分かれています。練習問題を繰り返し解いて、苦手を攻略しましょう。
執筆・編集 PORTキャリア編集部
> コンテンツポリシー記事の編集責任者 熊野 公俊 Kumano Masatoshi





アドバイザーのリアル・アドバイス!記号に置き換えてメモを取ることで正答率アップ!
国家資格キャリアコンサルタント
小寺 一綺
プロフィールを見る装置と回路の単元では、計算能力よりもルールを正確に図に落とす力が求められます。「上から」「同時」といった装置の仕様を文章のまま頭に入れず、図の近くに短くメモすることがオススメです。
たとえば、「上:+5」「同時:⇔」のように記号に置き換えてメモをすると、処理が楽になりますよ。
図解や演習を通してコツをつかもう
練習では、今解いた問題を解説無しで解けるようになることから始めましょう。
①装置1〜2個のシンプルな回路から始めて「入力→出力」を追跡する感覚をつかむ②問題を見たら数式にする前に図を書いてみる
上記のような対策をぜひ実施してください。
本番では1問に長くこだわるより、ルールが素直な問題を確実に取り切ることを優先し、複雑すぎる回路は後回しにする判断力も身に付けていきましょう。